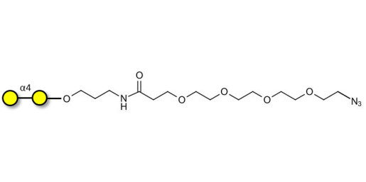
α1-4 galactobiose with terminal azide (Linker-N3 A)

Product code: GLY154-N3-A

Glycan structure: Galα1-4Gal-O-(CH2)3-NHCO-(CH2)2-EG4-N3

This product is also available on request with a cleavable linker. For more information, send us a message HERE

Chemical formula: C26 H48 N4 O16

Molecular weight: 672,68

Laboratory reagent for research and development only. Not for human or animal use.

specs_GLY154_N3_A.pdf (specs_GLY154_N3_A.pdf) Download (104.94KB)

MSDS_GLY154_N3_A.pdf (MSDS_GLY154_N3_A.pdf) Download (287.61KB)

Request a COA

Request a COA