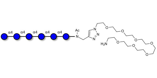
Maltohexaose DP6 with free terminal amine (Linker-NH2 C)

Product code: GLU316-NH2-C

Glycan structure: Glcα1-4[Glcα1-4]4Glc-NAc-CH2-(1.4-Tz)-(CH2)2-EG7-NH2

This product is also available on request with a cleavable linker. For more information, send us a message HERE

Chemical formula: C57 H101 N5 O38

Molecular weight: 1464,43

Laboratory reagent for research and development only. Not for human or animal use.

specs_GLU316_NH2_C.pdf (specs_GLU316_NH2_C.pdf) Download (104.47KB)

MSDS_GLU316_NH2_C.pdf (MSDS_GLU316_NH2_C.pdf) Download (284.28KB)

Request a COA

Request a COA