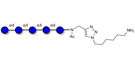
Maltopentaose DP5 with free terminal amine (Linker-NH2 D)

Product code: GLU315-NH2-D

Glycan structure: Glcα1-4[Glcα1-4]3Glc-NAc-CH2-(1.4-Tz)-(CH2)6-NH2

This product is also available on request with a cleavable linker. For more information, send us a message HERE

Chemical formula: C41 H71 N5 O26

Molecular weight: 1050,03

Laboratory reagent for research and development only. Not for human or animal use.

specs_GLU315_NH2_D.pdf (specs_GLU315_NH2_D.pdf) Download (103.55KB)

MSDS_GLU315_NH2_D.pdf (MSDS_GLU315_NH2_D.pdf) Download (284.29KB)

Request a COA

Request a COA