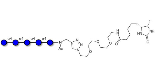
Maltopentaose DP5 linked to desthiobiotin (Linker-DBT-A)

Product code: GLU315-DBT-A

Glycan structure: Glcα1-4[Glcα1-4]3Glc-NAc-CH2-(1.4-Tz)-(CH2)2-EG3-NH-Desthiobiotin

This product is also available on request with a cleavable linker. For more information, send us a message HERE

Chemical formula: C53 H91 N7 O31

Molecular weight: 1322,32

Laboratory reagent for research and development only. Not for human or animal use.

specs_GLU315_DBT_A.pdf (specs_GLU315_DBT_A.pdf) Download (102.92KB)

MSDS_GLU315_DBT_A.pdf (MSDS_GLU315_DBT_A.pdf) Download (283.68KB)

Request a COA

Request a COA