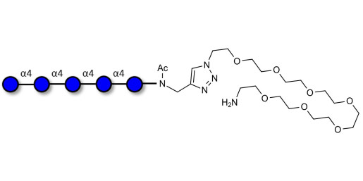
Maltopentaose DP5 with free terminal amine (Linker-NH2 C)

Product code: GLU315-NH2-C

Glycan structure: Glcα1-4[Glcα1-4]3Glc-NAc-CH2-(1.4-Tz)-(CH2)2-EG7-NH2

This product is also available on request with a cleavable linker. For more information, send us a message HERE

Chemical formula: C51 H91 N5 O33

Molecular weight: 1302,29

Laboratory reagent for research and development only. Not for human or animal use.

specs_GLU315_NH2_C.pdf (specs_GLU315_NH2_C.pdf) Download (103.56KB)

MSDS_GLU315_NH2_C.pdf (MSDS_GLU315_NH2_C.pdf) Download (284.31KB)

Request a COA

Request a COA