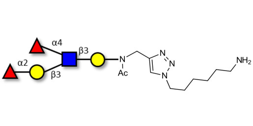
Lewis b (Leb) pentaose with free terminal amine (Linker-NH2 D)

Product code: GLY056-NH2-D

Glycan structure: Fucα1-2Galβ1-3(Fucα1-4)GlcNAcβ1-3Gal-NAc-CH2-(1.4-Tz)-(CH2)6-NH2

This product is also available on request with a cleavable linker. For more information, send us a message HERE

Chemical formula: C43 H74 N6 O24

Molecular weight: 1059,08

Laboratory reagent for research and development only. Not for human or animal use.

specs_GLY056_NH2_D.pdf (specs_GLY056_NH2_D.pdf) Download (102.87KB)

MSDS_GLY056_NH2_D.pdf (MSDS_GLY056_NH2_D.pdf) Download (284.65KB)

Request a COA

Request a COA