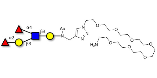
Lewis b (Leb) pentaose with free terminal amine (Linker-NH2 C)

Product code: GLY056-NH2-C

Glycan structure: Fucα1-2Galβ1-3(Fucα1-4)GlcNAcβ1-3Gal-NAc-CH2-(1.4-Tz)-(CH2)2-EG7-NH2

This product is also available on request with a cleavable linker. For more information, send us a message HERE

Chemical formula: C53 H94 N6 O31

Molecular weight: 1311,34

Laboratory reagent for research and development only. Not for human or animal use.

specs_GLY056_NH2_C.pdf (specs_GLY056_NH2_C.pdf) Download (102.88KB)

MSDS_GLY056_NH2_C.pdf (MSDS_GLY056_NH2_C.pdf) Download (284.65KB)

Request a COA

Request a COA