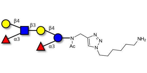
Lewis x (Lex) hexaose / Lacto-N-neodifucohexaose (LNnDFH) with free terminal amine (Linker-NH2 D)

Product code: GLY051-NH2-D

Glycan structure: Galβ1-4(Fucα1-3)GlcNAcβ1-3Galβ1-4(Fucα1-3)Glc-NAc-CH2-(1.4-Tz)-(CH2)6-NH2

This product is also available on request with a cleavable linker. For more information, send us a message HERE

Chemical formula: C49 H84 N6 O29

Molecular weight: 1221,22

Laboratory reagent for research and development only. Not for human or animal use.

specs_GLY051_NH2_D.pdf (specs_GLY051_NH2_D.pdf) Download (103.55KB)

MSDS_GLY051_NH2_D.pdf (MSDS_GLY051_NH2_D.pdf) Download (284.95KB)

Request a COA

Request a COA