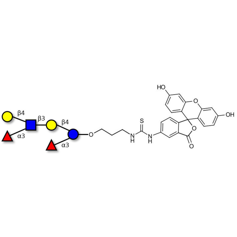
Lewis x (Lex) hexaose / Lacto-N-neodifucohexaose (LNnDFH) linked to fluorescein (Linker-FLUO A)

Product code: GLY051-FLUO-A

Glycan structure: Galβ1-4(Fucα1-3)GlcNAcβ1-3Galβ1-4(Fucα1-3)Glc-O-(CH2)3-NH-CS-NH-Fluorescein

This product is also available on request with a cleavable linker. For more information, send us a message HERE

Chemical formula: C62 H83 N3 O34 S1

Molecular weight: 1446,39

Laboratory reagent for research and development only. Not for human or animal use.

specs_GLY051_FLUO_A.pdf (specs_GLY051_FLUO_A.pdf) Download (102.76KB)

MSDS_GLY051_FLUO_A.pdf (MSDS_GLY051_FLUO_A.pdf) Download (284.95KB)

Request a COA

Request a COA