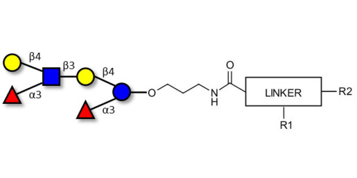
Lewis x (Lex) hexaose / Lacto-N-neodifucohexaose (LNnDFH) with customizable dual functionalization

Product code: GLY051-R1-R2

Glycan structure: Galβ1-4(Fucα1-3)GlcNAcβ1-3Galβ1-4(Fucα1-3)Glc-O-(CH2)3-NH-R1-R2

This product includes two positions (R1 and R2, as shown in the figure), which will be functionalized by our team according to your needs: Biotin, Fluorescein, Lipidic chain, or other reactive groups such as Amine, Azide, Alkyne, Maleimide... 
This product is also available on request with a cleavable linker. For more information, send us a message HERE

Laboratory reagent for research and development only. Not for human or animal use.

specs_GLY051_R1_R2.pdf (specs_GLY051_R1_R2.pdf) Download (103.13KB)

MSDS_GLY051_R1_R2.pdf (MSDS_GLY051_R1_R2.pdf) Download (284.95KB)

Request a COA

Request a COA