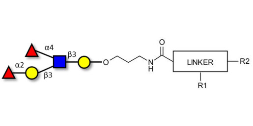
Lewis b (Leb) pentaose with customizable dual functionalization

Product code: GLY056-R1-R2

Glycan structure: Fucα1-2Galβ1-3(Fucα1-4)GlcNAcβ1-3Gal-O-(CH2)3-NH-R1-R2

This product includes two positions (R1 and R2, as shown in the figure), which will be functionalized by our team according to your needs: Biotin, Fluorescein, Lipidic chain, or other reactive groups such as Amine, Azide, Alkyne, Maleimide... 
This product is also available on request with a cleavable linker. For more information, send us a message HERE

Laboratory reagent for research and development only. Not for human or animal use.

specs_GLY056_R1_R2.pdf (specs_GLY056_R1_R2.pdf) Download (102.81KB)

MSDS_GLY056_R1_R2.pdf (MSDS_GLY056_R1_R2.pdf) Download (284.63KB)

Request a COA

Request a COA