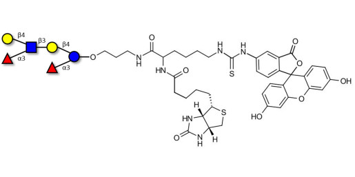
Lewis x (Lex) hexaose / Lacto-N-neodifucohexaose (LNnDFH) linked to biotin and fluorescein (Linker-BT-FLUO A)

Product code: GLY051-BT-FLUO-A

Glycan structure: Galβ1-4(Fucα1-3)GlcNAcβ1-3Galβ1-4(Fucα1-3)Glc-O-(CH2)3-NHCO-CH(NHCO-Biotin)-(CH2)4-NH-CS-NH-FITC

This product is also available on request with a cleavable linker. For more information, send us a message HERE

Chemical formula: C78 H109 N7 O37 S2

Molecular weight: 1800,86

Laboratory reagent for research and development only. Not for human or animal use.

specs_GLY051_BT_FLUO_A.pdf (specs_GLY051_BT_FLUO_A.pdf) Download (103.36KB)

MSDS_GLY051_BT_FLUO_A.pdf (MSDS_GLY051_BT_FLUO_A.pdf) Download (285.18KB)

Request a COA

Request a COA