Para-Lacto-N-hexaose analogue (Para-LNH analogue) with free terminal amine (Linker-NH2 C)

Product code: GLY012-NH2-C

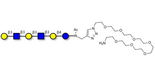
Glycan structure: Galβ1-3GlcNAcβ1-3Galβ1-3GlcNAcβ1-3Galβ1-4Glc-NAc-CH2-(1.4-Tz)-(CH2)2-EG7-NH2

This product is also available on request with a cleavable linker. For more information, send us a message HERE

Chemical formula: C61 H107 N7 O38

Molecular weight: 1546,53

Laboratory reagent for research and development only. Not for human or animal use.

specs_GLY012_NH2_C.pdf (specs_GLY012_NH2_C.pdf) Download (102.37KB)

MSDS_GLY012_NH2_C.pdf (MSDS_GLY012_NH2_C.pdf) Download (284.84KB)

Request a COA

Request a COA