Para-Lacto-N-hexaose analogue (Para-LNH analogue) linked to desthiobiotin (Linker-DBT-A)

Product code: GLY012-DBT-A

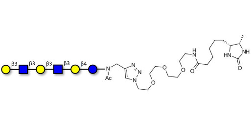
Glycan structure: Galβ1-3GlcNAcβ1-3Galβ1-3GlcNAcβ1-3Galβ1-4Glc-NAc-CH2-(1.4-Tz)-(CH2)2-EG3-NH-Desthiobiotin

This product is also available on request with a cleavable linker. For more information, send us a message HERE

Chemical formula: C63 H107 N9 O36

Molecular weight: 1566,56

Laboratory reagent for research and development only. Not for human or animal use.

specs_GLY012_DBT_A.pdf (specs_GLY012_DBT_A.pdf) Download (102.4KB)

MSDS_GLY012_DBT_A.pdf (MSDS_GLY012_DBT_A.pdf) Download (284.24KB)

Request a COA

Request a COA