Para-Lacto-N-neohexaose (Para-LNnH) with free terminal amine (Linker-NH2 B)

Product code: GLY022-NH2-B

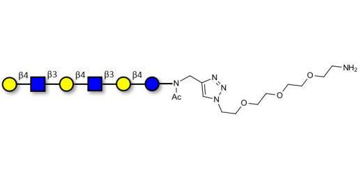
Glycan structure: Galβ1-4GlcNAcβ1-3Galβ1-4GlcNAcβ1-3Galβ1-4Glc-NAc-CH2-(1.4-Tz)-(CH2)2-EG3-NH2

This product is also available on request with a cleavable linker. For more information, send us a message HERE

Chemical formula: C53 H91 N7 O34

Molecular weight: 1370,32

Laboratory reagent for research and development only. Not for human or animal use.

specs_GLY022_NH2_B.pdf (specs_GLY022_NH2_B.pdf) Download (102.07KB)

MSDS_GLY022_NH2_B.pdf (MSDS_GLY022_NH2_B.pdf) Download (284.74KB)

Request a COA

Request a COA