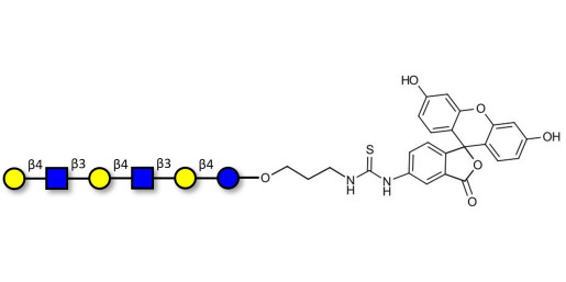
Para-Lacto-N-neohexaose (Para-LNnH) linked to fluorescein (Linker-FLUO A)

Product code: GLY022-FLUO-A

Glycan structure: Galβ1-4GlcNAcβ1-3Galβ1-4GlcNAcβ1-3Galβ1-4Glc-O-(CH2)3-NH-CS-NH-Fluorescein

This product is also available on request with a cleavable linker. For more information, send us a message HERE

Chemical formula: C64 H86 N4 O36 S1

Molecular weight: 1519,44

Laboratory reagent for research and development only. Not for human or animal use.

specs_GLY022_FLUO_A.pdf (specs_GLY022_FLUO_A.pdf) Download (102.06KB)

MSDS_GLY022_FLUO_A.pdf (MSDS_GLY022_FLUO_A.pdf) Download (284.09KB)

Request a COA

Request a COA