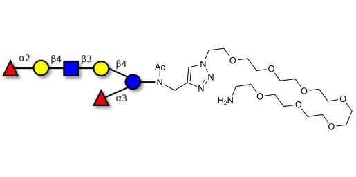
Lacto-N-neoDifucohexaose analogue with free terminal amine (Linker-NH2 C)

Product code: GLY253-NH2-C

Glycan structure: Fuc-a1,2-Gal-b1,4-GlcNAc-b1,3-Gal-b1,4-(Fuc-a1,3-)Glc-NAc-CH2-(1.4-Tz)-(CH2)2-EG7-NH2

This product is also available on request with a cleavable linker. For more information, send us a message HERE

Chemical formula: C59 H104 N6 O36

Molecular weight: 1473,48

Laboratory reagent for research and development only. Not for human or animal use.

specs_GLY253_NH2_C.pdf (specs_GLY253_NH2_C.pdf) Download (102.29KB)

MSDS_GLY253_NH2_C.pdf (MSDS_GLY253_NH2_C.pdf) Download (284.75KB)

Request a COA

Request a COA