Lacto-N-Difucohexaose analogue with free terminal amine (Linker-NH2 D)

Product code: GLY252-NH2-D

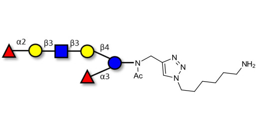
Glycan structure: Fuc-a1,2-Gal-b1,3-GlcNAc-b1,3-Gal-b1,4-(Fuc-a1,3-)Glc-NAc-CH2-(1.4-Tz)-(CH2)6-NH2

This product is also available on request with a cleavable linker. For more information, send us a message HERE

Chemical formula: C49 H84 N6 O29

Molecular weight: 1221,22

Laboratory reagent for research and development only. Not for human or animal use.

specs_GLY252_NH2_D.pdf (specs_GLY252_NH2_D.pdf) Download (101.7KB)

MSDS_GLY252_NH2_D.pdf (MSDS_GLY252_NH2_D.pdf) Download (284.73KB)

Request a COA

Request a COA