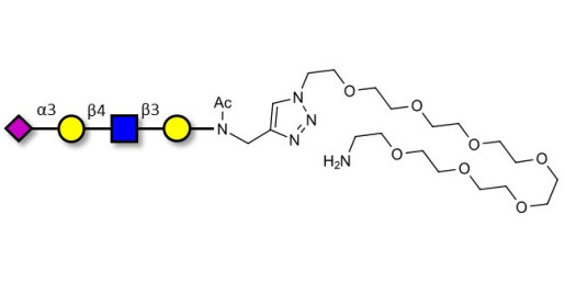
Sialylated tetraose type 2 with free terminal amine (Linker-NH2 C)

Product code: GLY082-NH2-C

Glycan structure: Neu5Acα2-3Galβ1-4GlcNAcβ1-3Gal-NAc-CH2-(1.4-Tz)-(CH2)2-EG7-NH2

This product is also available on request with a cleavable linker. For more information, send us a message HERE

Chemical formula: C52 H90 N7 O31 Na1

Molecular weight: 1332,3

Laboratory reagent for research and development only. Not for human or animal use.

specs_GLY082_NH2_C.pdf (specs_GLY082_NH2_C.pdf) Download (102.34KB)

MSDS_GLY082_NH2_C.pdf (MSDS_GLY082_NH2_C.pdf) Download (284.68KB)

Request a COA

Request a COA