Stage-Specific Embryonic Antigen-4 (SSEA-4) hexaose analogue type 2 with free terminal amine (Linker-NH2 D)

Product code: GLY195-2-NH2-D

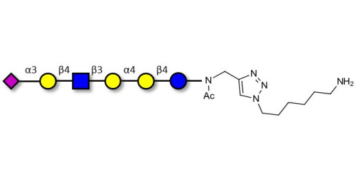
Glycan structure: Neu5Acα2-3Galβ1-4GlcNAcβ1-3Galα1-4Galβ1-4Glc-NAc-CH2-(1.4-Tz)-(CH2)6-NH2

This product is also available on request with a cleavable linker. For more information, send us a message HERE

Chemical formula: C54 H90 N7 O34 Na1

Molecular weight: 1404,32

Synonyms:SSEA-4 hexaose analogue type 2

Laboratory reagent for research and development only. Not for human or animal use.

specs_GLY195_2_NH2_D.pdf (specs_GLY195_2_NH2_D.pdf) Download (104.16KB)

MSDS_GLY195_2_NH2_D.pdf (MSDS_GLY195_2_NH2_D.pdf) Download (285.15KB)

Request a COA

Request a COA