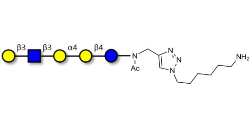
Globopentaose (Gb5) analogue type 1 with free terminal amine (Linker-NH2 D)

Product code: GLY191-1-NH2-D

Glycan structure: Galβ1-3GlcNAcβ1-3Galα1-4Galβ1-4Glc-NAc-CH2-(1.4-Tz)-(CH2)6-NH2

This product is also available on request with a cleavable linker. For more information, send us a message HERE

Chemical formula: C43 H74 N6 O26

Molecular weight: 1091,08

Synonyms:Gb5 analogue type 1

Laboratory reagent for research and development only. Not for human or animal use.

specs_GLY191_1_NH2_D.pdf (specs_GLY191_1_NH2_D.pdf) Download (102.76KB)

MSDS_GLY191_1_NH2_D.pdf (MSDS_GLY191_1_NH2_D.pdf) Download (284.75KB)

Request a COA

Request a COA