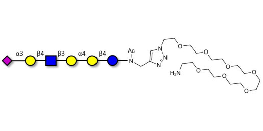
Stage-Specific Embryonic Antigen-4 (SSEA-4) hexaose analogue type 2 with free terminal amine (Linker-NH2 C)

Product code: GLY195-2-NH2-C

Glycan structure: Neu5Acα2-3Galβ1-4GlcNAcβ1-3Galα1-4Galβ1-4Glc-NAc-CH2-(1.4-Tz)-(CH2)2-EG7-NH2

This product is also available on request with a cleavable linker. For more information, send us a message HERE

Chemical formula: C64 H110 N7 O41 Na1

Molecular weight: 1656,58

Synonyms:SSEA-4 hexaose analogue type 2

Laboratory reagent for research and development only. Not for human or animal use.

specs_GLY195_2_NH2_C.pdf (specs_GLY195_2_NH2_C.pdf) Download (104.16KB)

MSDS_GLY195_2_NH2_C.pdf (MSDS_GLY195_2_NH2_C.pdf) Download (285.18KB)

Request a COA

Request a COA