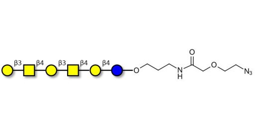
GalGalNAc-asialo GM1 Ganglioside oligosaccharide with terminal azide (Linker-N3 B)

Product code: GLY174-N3-B

Glycan structure: Galβ1-3GalNAcβ1-4Galβ1-3GalNAcβ1-4Galβ1-4Glc-O-(CH2)3-NHCO-CH2-O-(CH2)2-N3

This product is also available on request with a cleavable linker. For more information, send us a message HERE

Chemical formula: C47 H80 N6 O33

Molecular weight: 1257,16

Synonyms:GalGalNac-aGM1

Laboratory reagent for research and development only. Not for human or animal use.

specs_GLY174_N3_B.pdf (specs_GLY174_N3_B.pdf) Download (103.09KB)

MSDS_GLY174_N3_B.pdf (MSDS_GLY174_N3_B.pdf) Download (284.79KB)

Request a COA

Request a COA