GalGalNAc-asialo GM1 Ganglioside oligosaccharide with free terminal amine (Linker-NH2 C)

Product code: GLY174-NH2-C

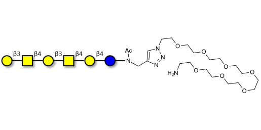
Glycan structure: Galβ1-3GalNAcβ1-4Galβ1-3GalNAcβ1-4Galβ1-4Glc-NAc-CH2-(1.4-Tz)-(CH2)2-EG7-NH2

This product is also available on request with a cleavable linker. For more information, send us a message HERE

Chemical formula: C61 H107 N7 O38

Molecular weight: 1546,53

Synonyms:GalGalNac-aGM1

Laboratory reagent for research and development only. Not for human or animal use.

specs_GLY174_NH2_C.pdf (specs_GLY174_NH2_C.pdf) Download (102.03KB)

MSDS_GLY174_NH2_C.pdf (MSDS_GLY174_NH2_C.pdf) Download (284.86KB)

Request a COA

Request a COA