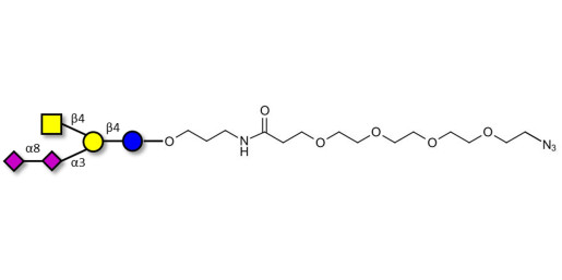
GD2 Ganglioside oligosaccharide with terminal azide (Linker-N3 A)

Product code: GLY094-N3-A

Glycan structure: GalNAcβ1-4(Neu5Acα2-8Neu5Acα2-3)Galβ1-4Glc-O-(CH2)3-NHCO-(CH2)2-EG4-N3

This product is also available on request with a cleavable linker. For more information, send us a message HERE

Chemical formula: C56 H93 N7 O37 Na2

Molecular weight: 1502,34

Laboratory reagent for research and development only. Not for human or animal use.

specs_GLY094_N3_A.pdf (specs_GLY094_N3_A.pdf) Download (104.73KB)

MSDS_GLY094_N3_A.pdf (MSDS_GLY094_N3_A.pdf) Download (284.65KB)

Request a COA

Request a COA