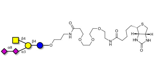
GD2 Ganglioside oligosaccharide linked to biotin (Linker-BT C)

Product code: GLY094-BT-C

Glycan structure: GalNAcβ1-4(Neu5Acα2-8Neu5Acα2-3)Galβ1-4Glc-O-(CH2)3-NHCO-(CH2)2-EG3-NH-Biotin

This product is also available on request with a cleavable linker. For more information, send us a message HERE

Chemical formula: C64 H105 N7 O38 S1 Na2

Molecular weight: 1658,59

Laboratory reagent for research and development only. Not for human or animal use.

specs_GLY094_BT_C.pdf (specs_GLY094_BT_C.pdf) Download (102.91KB)

MSDS_GLY094_BT_C.pdf (MSDS_GLY094_BT_C.pdf) Download (283.98KB)

Request a COA

Request a COA