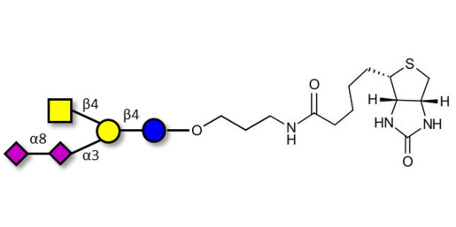
GD2 Ganglioside oligosaccharide linked to biotin (Linker-BT B)

Product code: GLY094-BT-B

Glycan structure: GalNAcβ1-4(Neu5Acα2-8Neu5Acα2-3)Galβ1-4Glc-O-(CH2)3-NH-Biotin

This product is also available on request with a cleavable linker. For more information, send us a message HERE

Chemical formula: C55 H88 N6 O34 S1 Na2

Molecular weight: 1455,35

Laboratory reagent for research and development only. Not for human or animal use.

specs_GLY094_BT_B.pdf (specs_GLY094_BT_B.pdf) Download (102.86KB)

MSDS_GLY094_BT_B.pdf (MSDS_GLY094_BT_B.pdf) Download (283.97KB)

Request a COA

Request a COA