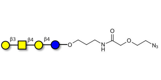
Asialo GM1 Ganglioside oligosaccharide (aGM1) with terminal azide (Linker-N3 B)

Product code: GLY102-N3-B

Glycan structure: Galβ1-3GalNAcβ1-4Galβ1-4Glc-O-(CH2)3-NHCO-CH2-O-(CH2)2-N3

This product is also available on request with a cleavable linker. For more information, send us a message HERE

Chemical formula: C33 H57 N5 O23

Molecular weight: 891,83

Synonyms:GA1 ; Gangliotetraose

Laboratory reagent for research and development only. Not for human or animal use.

specs_GLY102_N3_B.pdf (specs_GLY102_N3_B.pdf) Download (103.51KB)

MSDS_GLY102_N3_B.pdf (MSDS_GLY102_N3_B.pdf) Download (284.78KB)

Request a COA

Request a COA