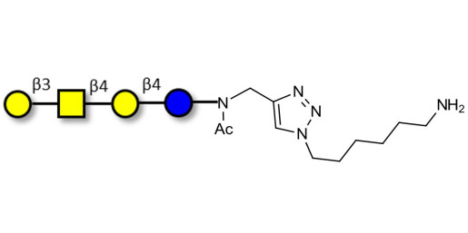
Asialo GM1 Ganglioside oligosaccharide (aGM1) with free terminal amine (Linker-NH2 D)

Product code: GLY102-NH2-D

Glycan structure: Galβ1-3GalNAcβ1-4Galβ1-4Glc-NAc-CH2-(1.4-Tz)-(CH2)6-NH2

This product is also available on request with a cleavable linker. For more information, send us a message HERE

Chemical formula: C37 H64 N6 O21

Molecular weight: 928,94

Synonyms:GA1 ; Gangliotetraose

Laboratory reagent for research and development only. Not for human or animal use.

specs_GLY102_NH2_D.pdf (specs_GLY102_NH2_D.pdf) Download (101.74KB)

MSDS_GLY102_NH2_D.pdf (MSDS_GLY102_NH2_D.pdf) Download (284.84KB)

Request a COA

Request a COA