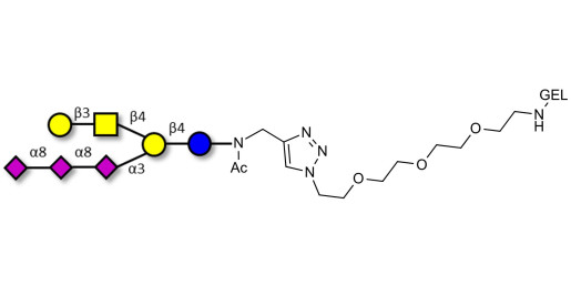
GT1c Ganglioside oligosaccharide grafted on gel for affinity chromatography (Linker-GEL A)

Product code: GLY101-GEL-A

Glycan structure: Galβ1-3GalNAcβ1-4(Neu5Acα2-8Neu5Acα2-8Neu5Acα2-3)Galβ1-4Glc-NAc-CH2-(1.4-Tz)-(CH2)2-EG3-NH-Gel

1mL of product in 20% ethanol aqueous solution stored in a 2mL syringe 

Laboratory reagent for research and development only. Not for human or animal use.

specs_GLY101_GEL_A.pdf (specs_GLY101_GEL_A.pdf) Download (100.64KB)

MSDS_GLY101_GEL_A.pdf (MSDS_GLY101_GEL_A.pdf) Download (284.48KB)

Request a COA

Request a COA