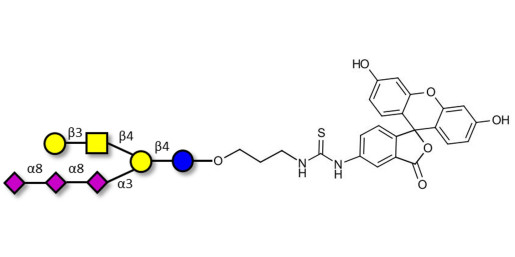
GT1c Ganglioside oligosaccharide linked to fluorescein (Linker-FLUO A)

Product code: GLY101-FLUO-A

Glycan structure: Galβ1-3GalNAcβ1-4(Neu5Acα2-8Neu5Acα2-8Neu5Acα2-3)Galβ1-4Glc-O-(CH2)3-NH-CS-NH-Fluorescein

This product is also available on request with a cleavable linker. For more information, send us a message HERE

Chemical formula: C83 H111 N6 O50 S1 Na3

Molecular weight: 2093,82

Laboratory reagent for research and development only. Not for human or animal use.

specs_GLY101_FLUO_A.pdf (specs_GLY101_FLUO_A.pdf) Download (101.42KB)

MSDS_GLY101_FLUO_A.pdf (MSDS_GLY101_FLUO_A.pdf) Download (284.02KB)

Request a COA

Request a COA