+33 4 76 40 71 61
CONTACT US
ELICITYL

Glycans and Glycoconjugates expertise

If you can't find your product, send us a message HERE

  • Sign in
My favourites
€0.00
  • Menu
  • Carbohydrates
     
    Oligosaccharides
    • Alginate oligosaccharides
    • Agar oligosaccharides
    • Blood group antigens
    • Carrageenan oligosaccharides
    • Cellooligosaccharides & analogues
    • Chitin oligosaccharides
    • Chitosan oligosaccharides
    • Core Structures
    • Forssman antigens
    • Fructooligosaccharides
    • Fructose isomer variants
    • Galactomannan oligosaccharides
    • Galacturonan oligosaccharides
    • Galili Antigens
    • Ganglioside oligosaccharides
    • Gentiooligosaccharides
    • Globo and Isoglobo series
    • Glucomannan oligosaccharides
    • Human Milk Oligosaccharides (HMO) & analogues
    • Hyaluronic Acid Oligosaccharides
    • Isolichenan oligosaccharides
    • Isomaltooligosaccharides & analogues
    • Lewis antigens
    • Maltooligosaccharides & analogues
    • Mannooligosaccharides
    • Miscellaneous
    • N-glycans
    • Neu5Gc variants
    • Reduced oligosaccharides (alditol)
    • Stage Specific Embryonic Antigens (SSEA)
    • Tumor-Associated Carbohydrate Antigens (TACA)
    • Ulvan oligosaccharides
    • Xeno antigens
    • Xylan oligosaccharides
    • Xyloglucan oligosaccharides
    Polysaccharides
    • Alginate
    • Apiogalacturonan
    • Arabinan
    • Arabinogalactan
    • Chitin
    • Chitosan
    • Curdlan
    • Fucoidan
    • Galactofucan
    • Galactomannan
    • Galacturonan
    • Glucomannan
    • Heparosan
    • Heteroglycan
    • Lentinan
    • Lichenan / Isolichenan
    • Mannan
    • Pustulan
    • Rhamnogalacturonan
    • Scleroglucan
    • Ulvan
    • Xanthan
    • Xylan
    • Xyloglucan
    Sulfation of oligosaccharides on request
    Monosaccharides and derivatives
    Cyclodextrins and derivatives
    Algae Extracts
  • Glycoconjugates
     
    Oligosaccharides grafted on hydroxylated polyacrylamide (PAA)
    • PAA
    • PAA with Biotin
    • PAA with Fluorescein
    • PAA with Biotin and Fluorescein
    • PAA with Stearic chain
    • PAA with Fluorescein and Stearic chain
    Oligosaccharides grafted on proteins
    • BSA
    • HSA
    • KLH
    • OVA
    • CRM197
    Functionalized oligosaccharides
    • Biotin
    • Alexa Fluor®
    • Desthiobiotin
    • Fluorescein
    • Stearic chain
    • 2-AB
    • Cleavable biotin
    Oligosaccharide building blocks
    • Alkyne
    • Amine
    • Azide
    • DBCO
    • Maleimide
    • Thiol
    • Alkene
    Dual-functionalized oligosaccharides
    • Biotin and Fluorescein
    • Biotin and Stearic chain
    • Customizable dual functionalization
    Stable isotope labeled oligosaccharides
    • ¹³C
    • ¹⁵N
    • ²H (deuterium)
    Oligosaccharides linked to amino acids
    • Lysine (K)
    • Additional amino acids
    • Peptide-Linked Oligosaccharides
    Glycan-based affinity column
    • Grafted media : Gel
  • Analytical References
     
    Human Milk Oligosaccharides - analytical references
     
    Maltooligosaccharides & analogues
     
    Blood group antigens - analytical references
     
    Globo and Isoglobo series - analytical references
  • Lectins
     
    Lectins & labeled lectins by sugar specificity
    • Fucose (Fuc)
    • Galactose (Gal)
    • Glucose (Glc)
    • Mannose (Man)
    • N-Acetylgalactosamine (GalNAc)
    • N-Acetylglucosamine (GlcNAc)
    • N-Acetylneuraminic acid (Neu5Ac)
    • N-Glycolylneuraminic acid (Neu5Gc)
    • Rhamnose (Rha)
    Lectins & labeled lectins by Name
    • Bacterial lectins
    • Fish lectins
    • Human lectins
    • Plant lectins
    • Viral lectin-like proteins
    Lectin Microarrays
  • Antibodies
  • Enzymes
  • Services
     
    Services
    • Analysis service
    • Purification service
    • Customized synthesis
    • Contract manufacturing
    • Research services
  • Innovations
     
    Innovations
    • Plant protection products
    • Food additives for animal nutrition
    • Human health
  • About us
     
    About us
    • Our History
    • Technology
    • Our Team
    • They have chosen us
    • News & Events
    • Ordering & FAQ
    • Distributors
    • Contact us
  1. Home
  2. Glycoconjugates
  3. Glycan-based affinity column
  4. Grafted media : Gel
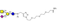
  5. Ganglioside oligosaccharides grafted on gel for affinity chromatography
  • Ganglioside oligosaccharides grafted on gel for affinity chromatography

Ganglioside oligosaccharides grafted on gel for affinity chromatography

There are 38 products.

Sort by:
Sales, highest to lowest Relevance Name, A to Z Name, Z to A Price, low to high Price, high to low Reference, A to Z Reference, Z to A

Active filters

3'-Sialyllactose (3'-SL) /...

3'-Sialyllactose (3'-SL) / GM3 Ganglioside oligosaccharide grafted on gel for affinity chromatography (Linker-GEL A)

3'-Sialyllactose (3'-SL) /...

3'-Sialyllactose (3'-SL) / GM3 Ganglioside oligosaccharide grafted on gel for affinity chromatography (Linker-GEL B)

GD3 Ganglioside...

GD3 Ganglioside oligosaccharide / Disialyl lactose (DSL) grafted on gel for affinity chromatography (Linker-GEL A)

GD3 Ganglioside...

GD3 Ganglioside oligosaccharide / Disialyl lactose (DSL) grafted on gel for affinity chromatography (Linker-GEL B)

GT3 Ganglioside...

GT3 Ganglioside oligosaccharide grafted on gel for affinity chromatography (Linker-GEL A)

GT3 Ganglioside...

GT3 Ganglioside oligosaccharide grafted on gel for affinity chromatography (Linker-GEL B)

GM2 Ganglioside...

GM2 Ganglioside oligosaccharide grafted on gel for affinity chromatography (Linker-GEL A)

GM2 Ganglioside...

GM2 Ganglioside oligosaccharide grafted on gel for affinity chromatography (Linker-GEL B)

GD2 Ganglioside...

GD2 Ganglioside oligosaccharide grafted on gel for affinity chromatography (Linker-GEL A)

GD2 Ganglioside...

GD2 Ganglioside oligosaccharide grafted on gel for affinity chromatography (Linker-GEL B)

  • 1
  • 2
  • 3
  • 4
  • Next
Back to top 

QUOTATION

Ask for a quote or create a quote from your cart

TECHNICAL QUESTIONS

Ask a scientist

ORDERING

Send us your purchase order or use our website

SECURE PAYMENT

SHIPPING

Speedy worldwide delivery

Connect with us :

Subscribe to our Newsletter to stay updated :

PRODUCTS

Carbohydrates
Glycoconjugates
Lectins
Analytical References
Antibodies
Enzymes

SERVICES

Analysis service
Purification service
Customized synthesis
Contract manufacturing
Research service

INNOVATION

Plant protection products
Food additives for animal nutrition
Human health

COMPANY

About us
Technology
Our Team
They have chosen us
News & Events
Ordering
Distributors
Contact us

ELICITYL

ELICITYL S.A.
746 avenue Ambroise Croizat
38920 CROLLES - FRANCE
+33 4 76 40 71 61
CONTACT US

Legal Notice I Terms and conditions I Secure payment I Sitemap I Contact us

Add to favourites
add_circle_outline Create new list
((modalTitle))

((confirmMessage))

Add to favourites
Sign in

Please log in to add products to your favorites

((loginText))