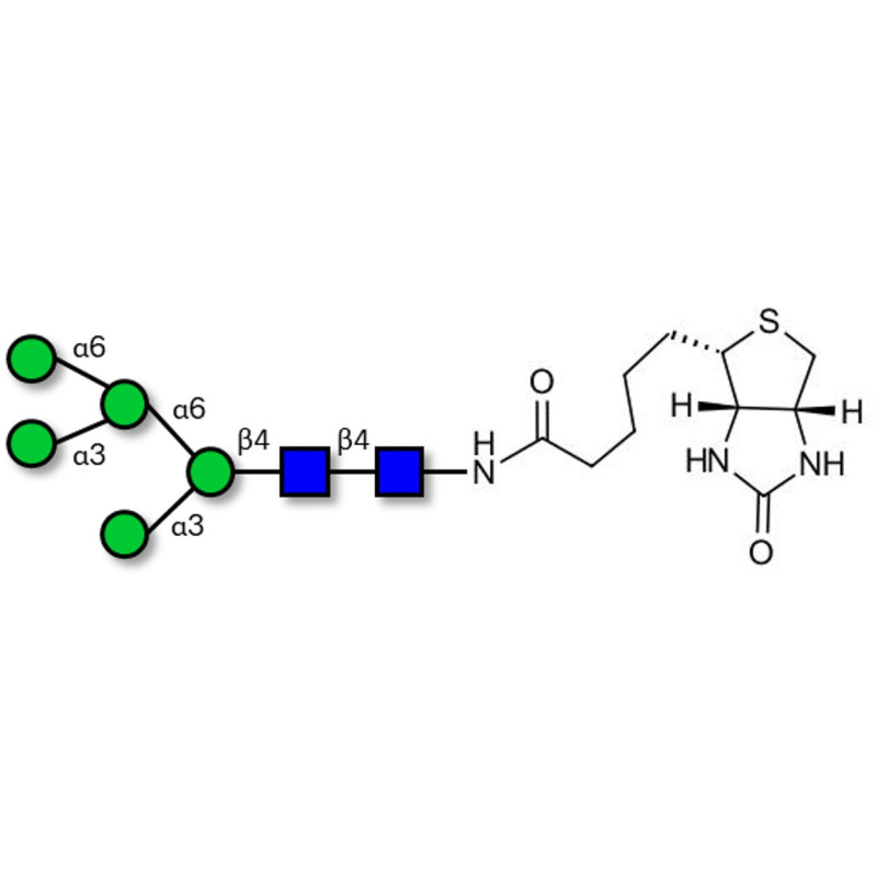
Man5 linked to biotin (Linker-BT F)

Product code: NGL007-BT-F

Glycan structure: Manα1-3[Manα1-6(Manα1-3)Manα1-6]Manβ1-4GlcNacβ1-4GlcNac-NH-biotin

Our N-glycans are produced by chemical synthesis, ensuring high purity and precise structural characterization. They are available with a wide range of functionalizations (Biotin, Fluorescein, ...) and can be supplied in large quantities on request. For more information, send us a message HERE

Chemical formula: C56 H93 N5 O37 S1

Molecular weight: 1460,42

Synonyms:M5 ; Oligomannose-5 ; Mannopentaose-di-(N-acetyl-D-glucosamine) ; Man-5 N-linked oligosaccharide ; Man5(GlcNac)2

Laboratory reagent for research and development only. Not for human or animal use.

specs_NGL_007_BT_F_90.jpg.pdf (specs_NGL_007_BT_F_90.jpg.pdf) Download (101.92KB)

MSDS_NGL_007_BT_F_90.jpg.pdf (MSDS_NGL_007_BT_F_90.jpg.pdf) Download (283.66KB)

Request a COA

Request a COA