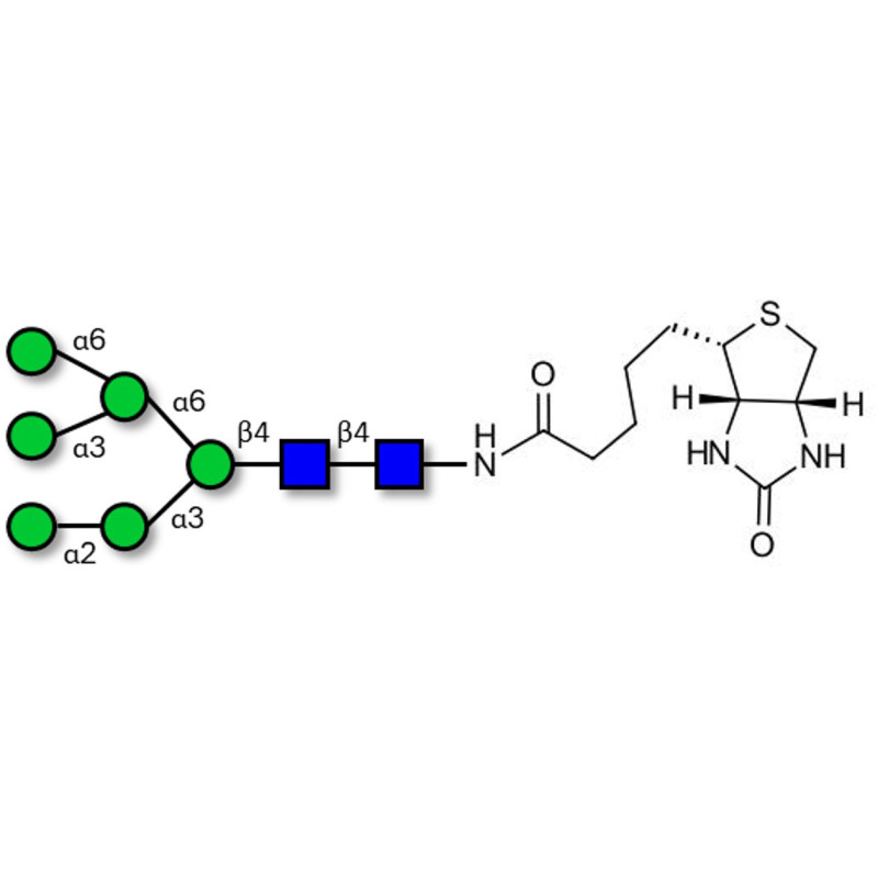
Man6 linked to biotin (Linker-BT F)

Product code: NGL006-BT-F

Glycan structure: Manα1-2Manα1-3[Manα1-6(Manα1-3)Manα1-6]Manβ1-4GlcNacβ1-4GlcNac-NH-biotin

Our N-glycans are produced by chemical synthesis, ensuring high purity and precise structural characterization. They are available with a wide range of functionalizations (Biotin, Fluorescein, ...) and can be supplied in large quantities on request. For more information, send us a message HERE

Chemical formula: C62 H103 N5 O42 S1

Molecular weight: 1622,56

Synonyms:M6 ; Oligomannose-6 ; Mannohexaose-di-(N-acetyl-D-glucosamine) ; Man-6 N-linked oligosaccharide ; Man6(GlcNac)2

Laboratory reagent for research and development only. Not for human or animal use.

specs_NGL_006_BT_F_90.jpg.pdf (specs_NGL_006_BT_F_90.jpg.pdf) Download (101.74KB)

MSDS_NGL_006_BT_F_90.jpg.pdf (MSDS_NGL_006_BT_F_90.jpg.pdf) Download (283.66KB)

Request a COA

Request a COA