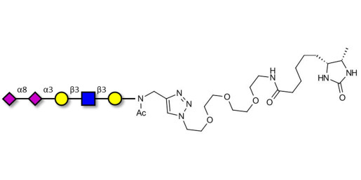
Disialylated pentaose type 1 linked to desthiobiotin (Linker-DBT-A)

Product code: GLY172-DBT-A

Glycan structure: Neu5Acα2-8Neu5Acα2-3Galβ1-3GlcNAcβ1-3Gal-NAc-CH2-(1.4-Tz)-(CH2)2-EG3-NH-Desthiobiotin

This product is also available on request with a cleavable linker. For more information, send us a message HERE

Chemical formula: C65 H106 N10 O37 Na2

Molecular weight: 1665,56

Laboratory reagent for research and development only. Not for human or animal use.

specs_GLY172_DBT_A.pdf (specs_GLY172_DBT_A.pdf) Download (102KB)

MSDS_GLY172_DBT_A.pdf (MSDS_GLY172_DBT_A.pdf) Download (284.06KB)

Request a COA

Request a COA