Galα1-4Galα1-4-Globotriose linked to desthiobiotin (Linker-DBT-A)

Product code: GLY251-DBT-A

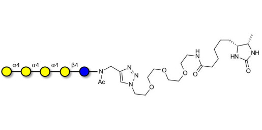
Glycan structure: Galα1-4Galα1-4Galα1-4Galβ1-4Glc-NAc-CH2-(1.4-Tz)-(CH2)2-EG3-NH-Desthiobiotin

This product is also available on request with a cleavable linker. For more information, send us a message HERE

Chemical formula: C53 H91 N7 O31

Molecular weight: 1322,32

Synonyms:Galα1-4Galα1-4-Gb3

Laboratory reagent for research and development only. Not for human or animal use.

specs_GLY251_DBT_A.pdf (specs_GLY251_DBT_A.pdf) Download (104.33KB)

MSDS_GLY251_DBT_A.pdf (MSDS_GLY251_DBT_A.pdf) Download (286.99KB)

Request a COA

Request a COA