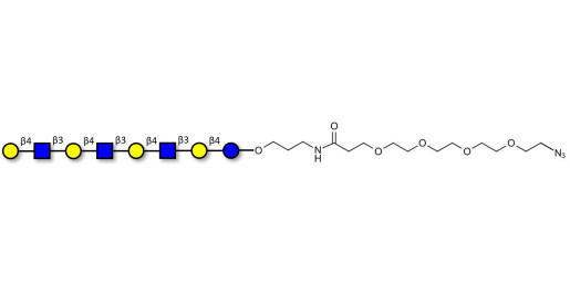
Lacto-N-neooctaose (LNnO) with terminal azide (Linker-N3 A)

Product code: GLY023-N3-A

Glycan structure: Galβ1-4GlcNAcβ1-3Galβ1-4GlcNAcβ1-3Galβ1-4GlcNAcβ1-3Galβ1-4Glc-O-(CH2)3-NHCO-(CH2)2-EG4-N3

This product is also available on request with a cleavable linker. For more information, send us a message HERE

Chemical formula: C68 H23 N7 O46

Molecular weight: 1768,68

Laboratory reagent for research and development only. Not for human or animal use.

specs_GLY023_N3_A.pdf (specs_GLY023_N3_A.pdf) Download (103.1KB)

MSDS_GLY023_N3_A.pdf (MSDS_GLY023_N3_A.pdf) Download (284.64KB)

Request a COA

Request a COA