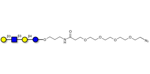
Lacto-N-tetraose (LNT) with terminal azide (Linker-N3 A)

Product code: GLY010-N3-A

Glycan structure: Galβ1-3GlcNAcβ1-3Galβ1-4Glc-O-(CH2)3-NHCO-(CH2)2-EG4-N3

This product is also available on request with a cleavable linker. For more information, send us a message HERE

Chemical formula: C40 H71 N5 O26

Molecular weight: 1038,01

Synonyms:LNT

Laboratory reagent for research and development only. Not for human or animal use.

specs_GLY010_N3_A.pdf (specs_GLY010_N3_A.pdf) Download (102.68KB)

MSDS_GLY010_N3_A.pdf (MSDS_GLY010_N3_A.pdf) Download (284.63KB)

Request a COA

Request a COA