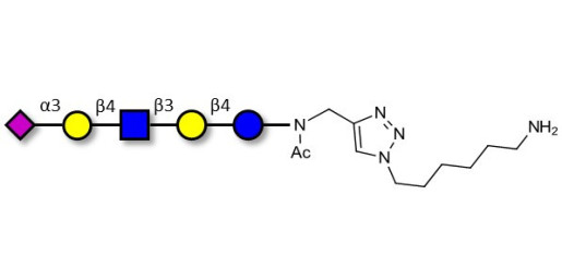
LS-Tetrasaccharide d (LSTd) with free terminal amine (Linker-NH2 D)

Product code: GLY083-NH2-D

Glycan structure: Neu5Acα2-3Galβ1-4GlcNAcβ1-3Galβ1-4Glc-NAc-CH2-(1.4-Tz)-(CH2)6-NH2

This product is also available on request with a cleavable linker. For more information, send us a message HERE

Chemical formula: C48 H80 N7 O29 Na1

Molecular weight: 1242,18

Synonyms:Sialyl-lacto-N-neotetraose d ; SLNnT-d

Laboratory reagent for research and development only. Not for human or animal use.

specs_GLY083_NH2_D.pdf (specs_GLY083_NH2_D.pdf) Download (102.89KB)

MSDS_GLY083_NH2_D.pdf (MSDS_GLY083_NH2_D.pdf) Download (284.71KB)

Request a COA

Request a COA