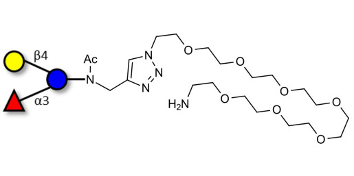
3-Fucosyllactose (3-FL) with free terminal amine (Linker-NH2 C)

Product code: GLY060-NH2-C

Glycan structure: Galβ1-4(Fucα1-3)Glc-NAc-CH2-(1.4-Tz)-(CH2)2-EG7-NH2

This product is also available on request with a cleavable linker. For more information, send us a message HERE

Chemical formula: C39 H71 N5 O22

Molecular weight: 962,01

Laboratory reagent for research and development only. Not for human or animal use.

specs_GLY060_NH2_C.pdf (specs_GLY060_NH2_C.pdf) Download (102.9KB)

MSDS_GLY060_NH2_C.pdf (MSDS_GLY060_NH2_C.pdf) Download (284.67KB)

Request a COA

Request a COA