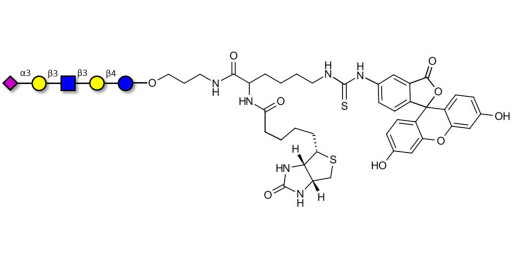
LS-Tetrasaccharide a (LSTa) linked to biotin and fluorescein (Linker-BT-FLUO A)

Product code: GLY081-BT-FLUO-A

Glycan structure: Neu5Acα2-3Galβ1-3GlcNAcβ1-3Galβ1-4Glc-O-(CH2)3-NHCO-CH(NHCO-Biotin)-(CH2)4-NH-CS-NH-FITC

This product is also available on request with a cleavable linker. For more information, send us a message HERE

Chemical formula: C77 H105 N8 O37 S2 Na1

Molecular weight: 1821,81

Synonyms:Sialyl-lacto-N-tetraose a ; SLNT-a

Laboratory reagent for research and development only. Not for human or animal use.

specs_GLY081_BT_FLUO_A.pdf (specs_GLY081_BT_FLUO_A.pdf) Download (102.59KB)

MSDS_GLY081_BT_FLUO_A.pdf (MSDS_GLY081_BT_FLUO_A.pdf) Download (284.19KB)

Request a COA

Request a COA