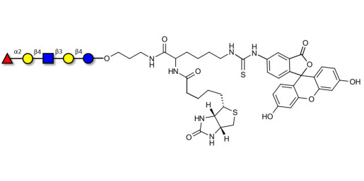
Blood group H antigen pentaose type 2 / Lacto-N-neofucopentaose I (LnNFP I) linked to biotin and fluorescein (Linker-BT-FLUO A)

Product code: GLY033-2-BT-FLUO-A

Glycan structure: Fucα1-2Galβ1-4GlcNAcβ1-3Galβ1-4Glc-O-(CH2)3-NHCO-CH(NHCO-Biotin)-(CH2)4-NH-CS-NH-FITC

This product is also available on request with a cleavable linker. For more information, send us a message HERE

Chemical formula: C72 H99 N7 O33 S2

Molecular weight: 1654,72

Laboratory reagent for research and development only. Not for human or animal use.

specs_GLY033_2_BT_FLUO_A.pdf (specs_GLY033_2_BT_FLUO_A.pdf) Download (103.1KB)

MSDS_GLY033_2_BT_FLUO_A.pdf (MSDS_GLY033_2_BT_FLUO_A.pdf) Download (284.69KB)

Request a COA

Request a COA