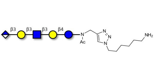
Glucuronyl-Lacto-N-tetraose with free terminal amine (Linker-NH2 D)

Product code: GLY181-NH2-D

Glycan structure: GlcAβ1-3Galβ1-3GlcNAcβ1-3Galβ1-4Glc-NAc-CH2-(1.4-Tz)-(CH2)6-NH2

This product is also available on request with a cleavable linker. For more information, send us a message HERE

Chemical formula: C43 H71 N6 O27 Na1

Molecular weight: 1127,05

Synonyms:Glucuronyl-LNT

Laboratory reagent for research and development only. Not for human or animal use.

specs_GLY181_NH2_D.pdf (specs_GLY181_NH2_D.pdf) Download (101.82KB)

MSDS_GLY181_NH2_D.pdf (MSDS_GLY181_NH2_D.pdf) Download (284.71KB)

Request a COA

Request a COA