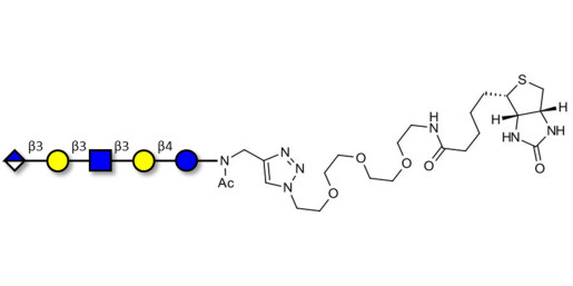
Glucuronyl-Lacto-N-tetraose linked to biotin (Linker-BT A)

Product code: GLY181-BT-A

Glycan structure: GlcAβ1-3Galβ1-3GlcNAcβ1-3Galβ1-4Glc-NAc-CH2-(1.4-Tz)-(CH2)2-EG3-NH-Biotin

This product is also available on request with a cleavable linker. For more information, send us a message HERE

Chemical formula: C55 H89 N8 O32 S1 Na1

Molecular weight: 1429,4

Synonyms:Glucuronyl-LNT

Laboratory reagent for research and development only. Not for human or animal use.

specs_GLY181_BT_A.pdf (specs_GLY181_BT_A.pdf) Download (101.16KB)

MSDS_GLY181_BT_A.pdf (MSDS_GLY181_BT_A.pdf) Download (284.02KB)

Request a COA

Request a COA