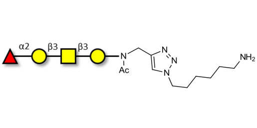
Blood group H antigen tetraose type 4 with free terminal amine (Linker-NH2 D)

Product code: GLY127-NH2-D

Glycan structure: Fucα1-2Galβ1-3GalNAcβ1-3Gal-NAc-CH2-(1.4-Tz)-(CH2)6-NH2

This product is also available on request with a cleavable linker. For more information, send us a message HERE

Chemical formula: C37 H64 N6 O20

Molecular weight: 912,94

Laboratory reagent for research and development only. Not for human or animal use.

specs_GLY127_NH2_D.pdf (specs_GLY127_NH2_D.pdf) Download (102.35KB)

MSDS_GLY127_NH2_D.pdf (MSDS_GLY127_NH2_D.pdf) Download (284.76KB)

Request a COA

Request a COA