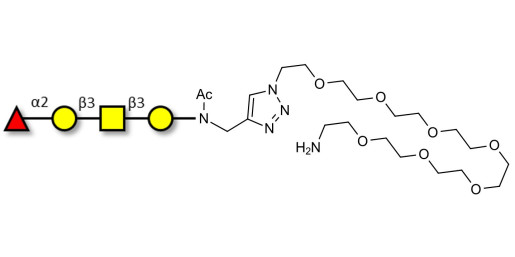
Blood group H antigen tetraose type 4 with free terminal amine (Linker-NH2 C)

Product code: GLY127-NH2-C

Glycan structure: Fucα1-2Galβ1-3GalNAcβ1-3Gal-NAc-CH2-(1.4-Tz)-(CH2)2-EG7-NH2

This product is also available on request with a cleavable linker. For more information, send us a message HERE

Chemical formula: C47 H84 N6 O27

Molecular weight: 1165,2

Laboratory reagent for research and development only. Not for human or animal use.

specs_GLY127_NH2_C.pdf (specs_GLY127_NH2_C.pdf) Download (102.37KB)

MSDS_GLY127_NH2_C.pdf (MSDS_GLY127_NH2_C.pdf) Download (284.77KB)

Request a COA

Request a COA