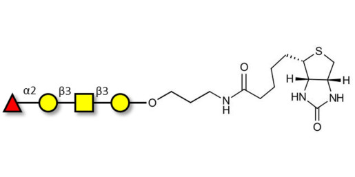
Blood group H antigen tetraose type 4 linked to biotin (Linker-BT B)

Product code: GLY127-BT-B

Glycan structure: Fucα1-2Galβ1-3GalNAcβ1-3Gal-O-(CH2)3-NH-Biotin

This product is also available on request with a cleavable linker. For more information, send us a message HERE

Chemical formula: C39 H66 N4 O22 S1

Molecular weight: 975,02

Laboratory reagent for research and development only. Not for human or animal use.

specs_GLY127_BT_B.pdf (specs_GLY127_BT_B.pdf) Download (102.3KB)

MSDS_GLY127_BT_B.pdf (MSDS_GLY127_BT_B.pdf) Download (284.07KB)

Request a COA

Request a COA