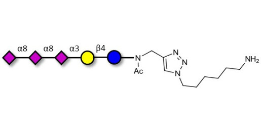
GT3 Ganglioside oligosaccharide with free terminal amine (Linker-NH2 D)

Product code: GLY092-NH2-D

Glycan structure: Neu5Acα2-8Neu5Acα2-8Neu5Acα2-3Galβ1-4Glc-NAc-CH2-(1.4-Tz)-(CH2)6-NH2

This product is also available on request with a cleavable linker. For more information, send us a message HERE

Chemical formula: C56 H89 N8 O35 Na3

Molecular weight: 1503,32

Synonyms:Trisialyl lactose

Laboratory reagent for research and development only. Not for human or animal use.

specs_GLY092_NH2_D.pdf (specs_GLY092_NH2_D.pdf) Download (103KB)

MSDS_GLY092_NH2_D.pdf (MSDS_GLY092_NH2_D.pdf) Download (284.68KB)

Request a COA

Request a COA