GT3 Ganglioside oligosaccharide linked to biotin (Linker-BT C)

Product code: GLY092-BT-C

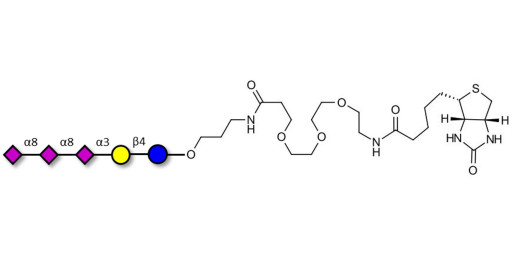
Glycan structure: Neu5Acα2-8Neu5Acα2-8Neu5Acα2-3Galβ1-4Glc-O-(CH2)3-NHCO-(CH2)2-EG3-NH-Biotin

This product is also available on request with a cleavable linker. For more information, send us a message HERE

Chemical formula: C67 H108 N7 O41 S1 Na3

Molecular weight: 1768,64

Synonyms:Trisialyl lactose

Laboratory reagent for research and development only. Not for human or animal use.

specs_GLY092_BT_C.pdf (specs_GLY092_BT_C.pdf) Download (102.96KB)

MSDS_GLY092_BT_C.pdf (MSDS_GLY092_BT_C.pdf) Download (283.98KB)

Request a COA

Request a COA