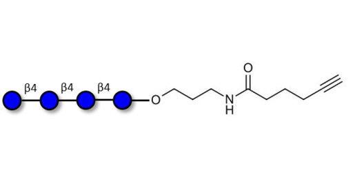
Cellotetraose with terminal alkyne (Linker-CΞCH C)

Product code: GLU302-YNE-C

Glycan structure: Glcβ1-4[Glcβ1-4]2Glc-O-(CH2)3-NHCO-(CH2)3-CΞCH

This product is also available on request with a cleavable linker. For more information, send us a message HERE

Chemical formula: C33 H55 N1 O22

Molecular weight: 817,79

Laboratory reagent for research and development only. Not for human or animal use.

specs_GLU302_YNE_C.pdf (specs_GLU302_YNE_C.pdf) Download (105.77KB)

MSDS_GLU302_YNE_C.pdf (MSDS_GLU302_YNE_C.pdf) Download (287.54KB)

Request a COA

Request a COA